Gendefekt erhöht Risiko für Reizdarmsyndrom

Neue Erkenntnisse
lz
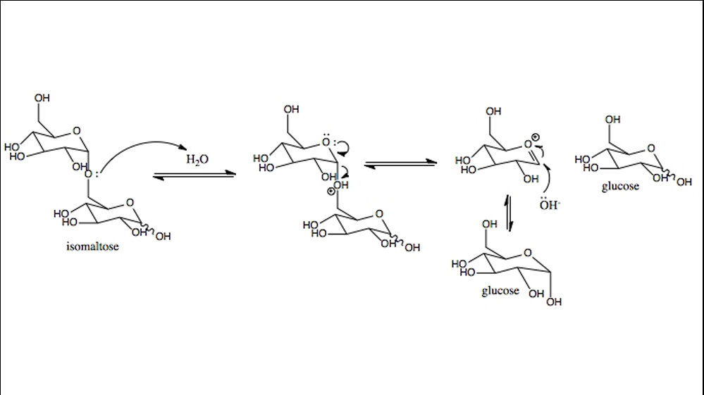
Sucrase-Isomaltase
Mechanismus, wie Sucrase-Isomaltase die Umwandlung von Isomaltose in zwei Glucosemoleküle katalysiert Areid3, CC BY-SA 4.0
Newsletter­anmeldung

Bleiben Sie auf dem Laufenden. Der MT-Dialog-Newsletter informiert Sie jede Woche kostenfrei über die wichtigsten Branchen-News, aktuelle Themen und die neusten Stellenangebote.

Formularfelder Newsletteranmeldung

* Pflichtfeld

Neue Forschungsergebnisse zur häufigsten Erkrankung des Magen-Darm-Traktes. Forscher untersuchten das Erbmaterial betroffener Personen – und sie wurden fündig.

Die Stiftung Tierärztliche Hochschule Hannover (TiHo) und das schwedische Karolinska-Institut fanden in einem großen Kooperationsprojekt mit 30 internationalen wissenschaftlichen Einrichtungen die genetischen Ursachen für das Reizdarmsyndrom. Die Erkrankung betrifft etwa zehn Prozent der westlichen Bevölkerung und ist die häufigste Erkrankung des Magen-Darm-Traktes. Die neuen Erkenntnisse wurden jüngst veröffentlicht.

Viele Auslöser im Blick

Wodurch das Reizdarmsyndrom hervorgerufen wird, wurde bislang nur vermutet. Ernährung, Infektionen, Immunreaktionen, Stress und Erbdefekte galten zwar bereits als mögliche Einflussfaktoren, konnten bisher aber nicht sicher als Auslöser nachgewiesen werden. Professor Dr. Hassan Y. Naim vom Institut für Physiologische Chemie der TiHo und Professor Dr. Mauro D’Amato vom Karolinska Institutet in Solna untersuchten gemeinsam mit Wissenschaftlerinnen und Wissenschaftlern aus 30 Einrichtungen in Schweden, Deutschland, den USA, Italien und Spanien Erbmaterial betroffener Personen – und wurden fündig: Ihre Studie zeigt, dass ein bestimmter Gendefekt dazu führt, dass die Betroffenen leicht verdauliche Kohlenhydrate wie Zucker und Stärke nicht verarbeiten können. Bei Patienten mit Reizdarmsyndrom tritt die Veränderung im Erbgut doppelt so häufig auf wie bei gesunden Menschen.

Auswirkungen auf die Kohlenhydratverdauung

Eine Mutation ist ein Fehler im Erbmaterial, der dazu führen kann, dass Enzyme gar nicht oder mit abweichender Form und Funktion gebildet werden. Wird die sogenannte Sucrase-Isomaltase, ein Enzym, das im Darm Saccharose (Haushaltszucker) und Stärke spaltet, in ihrer Struktur verändert, kann sie ihre Aufgabe nicht mehr erfüllen. „Fällt die Enzymaktivität der Sucrase-Isomaltase deutlich ab, hat das Auswirkungen auf die Kohlenhydratverdauung im Darm, was zu Durchfällen und Bauchschmerzen führen kann.“, erklärt Naim.

Wenn Kohlenhydrate im Dünndarm nicht verdaut werden, kann der Körper sie nicht aufnehmen und sie verbleiben im Darm. Entweder sie sammeln sich dort und führen zu Verstopfung oder der Körper transportiert Wasser in den Darm, um die Kohlenhydrate zu verdünnen, und der Patient leidet an einem sogenannten osmotischen Durchfall.

Auch Darmflora kann gestört werden

Zusätzlich können die angesammelten, unverdauten Kohlenhydrate die Darmflora stören. Bestimmte Bakterien bilden daraufhin vermehrt kurzkettige Fettsäuren und Gase, was zu verstärkten Darmbewegungen und Blähungen führen kann. Die genannten Symptome, also Verstopfung, Durchfall, Blähungen und Bauchschmerzen, sind die häufigsten Anzeichen für das Reizdarmsyndrom.

Um die Symptome des Reizdarmsyndroms zu verringern oder gar abzuschalten, ist es wichtig, die auslösenden Faktoren zu erkennen. Denn auch wenn vermutet wurde, dass der Genuss von Kohlenhydraten eine Rolle spielt und Studien zeigten, dass Reizdarmsyndrom in Familien gehäuft vorkommt, so konnten erst durch die Ergebnisse dieser Studie mit 1.887 Teilnehmern aus den USA, Italien und Schweden Mutationen, die zur Veränderung der Sucrase-Isomaltase führen, als eine konkrete Ursache benannt werden.

Künftig kann die Therapie angepasst werden

In Zukunft könnte diese Veränderung im Erbmaterial bei Patienten mit Reizdarmsyndrom nachgewiesen und die Therapie daran angepasst werden, indem man beispielsweise die Ernährung umstellt und Enzyme verabreicht. (idw, red)

Literatur:

Maria Henström, Lena Diekmann, Ferdinando Bonfiglio, et al.: Functional variants in the sucrase-isomaltase gene associate with increased risk of irritable bowel syndrome. Gut. Published online 21 November 2016. DOI: 10.1136/gutjnl-2016-312456

Artikel teilen

Online-Angebot der MT im Dialog

Um das Online-Angebot der MT im Dialog uneingeschränkt nutzen zu können, müssen Sie sich einmalig mit Ihrer DVTA-Mitglieds- oder Abonnentennummer registrieren.

Stellen- und Rubrikenmarkt

Möchten Sie eine Anzeige in der MT im Dialog schalten?

Stellenmarkt
Industrieanzeige